
開幕から負けなし15連勝を飾ったJT【写真:©JVL】
バレーボールの国内トップリーグ、2023-24 V.LEAGUE DIVISION1 WOMEN(V1女子)は1月13日(土)、14日(日)に3会場で計12試合が行われた。
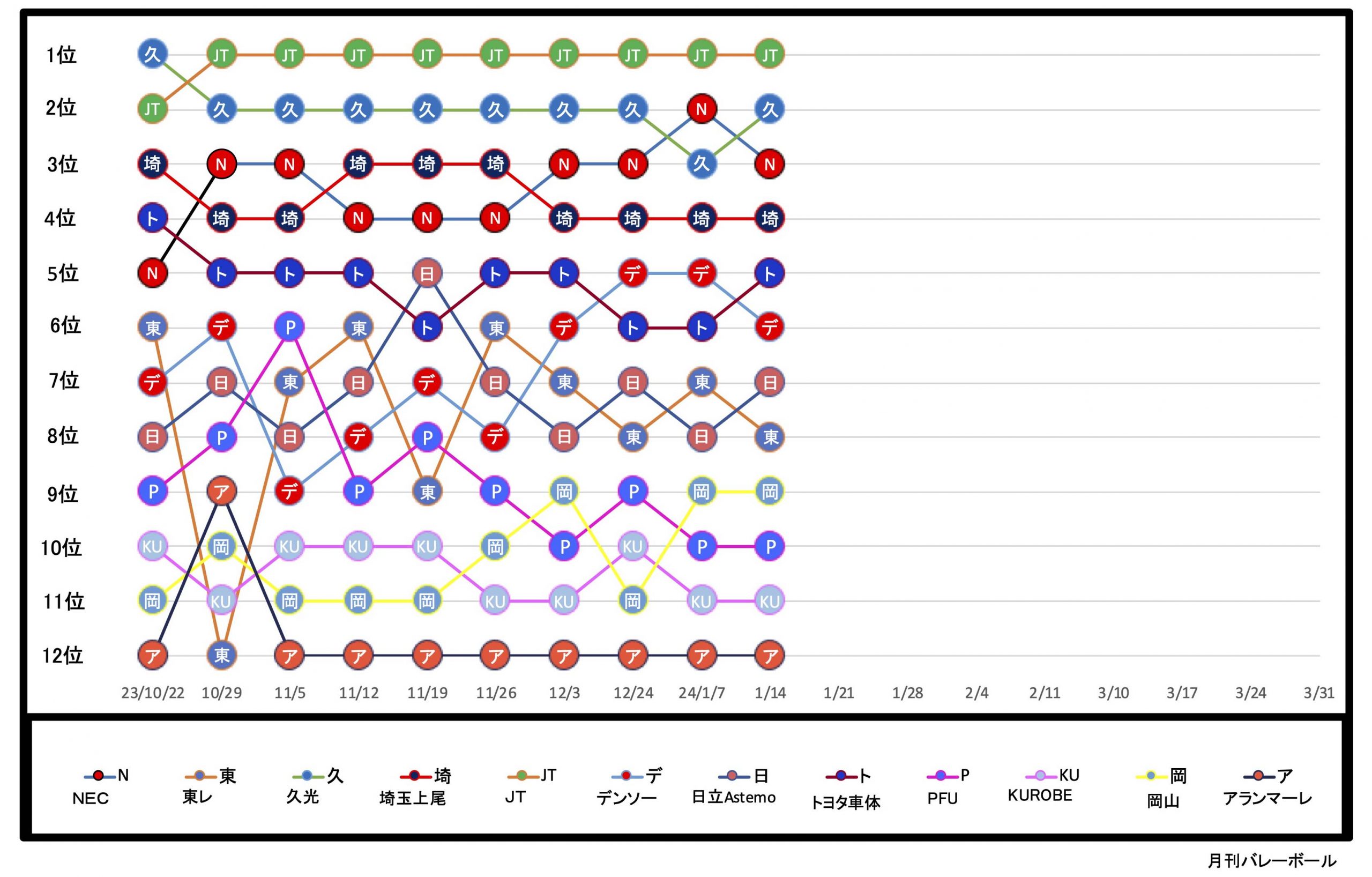
首位を走るJTマーヴェラスは13日にKUROBEアクアフェアリーズと、14日にNECレッドロケッツと対戦。どちらも3-1で勝利すると、15勝0敗でV・レギュラーラウンド6位以上が確定。2月24日(土)から始まるV・ファイナルステージ進出を決めた。NECは順位を一つ落とし、セット率の差で3位となった。
連勝した久光スプリングスが2位に浮上。埼玉上尾メディックス、トヨタ車体クインシーズ、日立Astemoリヴァーレも連勝を飾った。
[試合結果]
■1月13日(土)
日立Astemo ◯3-0● アランマーレ
NEC ◯3-1● デンソー
埼玉上尾 ◯3-0● 東レ
トヨタ車体 ◯3-1● PFU
久光 ◯3-1● 岡山
JT ◯3-1● KUROBE
■1月14日(日)
日立Astemo ◯3-1● 岡山
JT ◯3-1● NEC
トヨタ車体 ◯3-2● 東レ
久光 ◯3-1● アランマーレ
KUROBE ◯3-2● デンソー
埼玉上尾 ◯3-0● PFU
V1女子順位推移表(1月14日終了時点)
■2024年秋からのバレーボール新リーグ V1男女全チームが最高峰リーグ参加資格を申請
■久光 深澤めぐみが東京体育館で立てる誓い。無観客での春高優勝から2年、「やっぱり楽しい」けれど…
順位表(1月14日終了時点)
|
順位 |
チーム |
試合数 |
勝 |
負 |
勝率 |
ポイント |
得セット |
失セット |
セット率 |
|
1 |
JT |
15 |
15 |
0 |
1.00 |
43 |
45 |
9 |
5.00 |
|
2 |
久光 |
15 |
12 |
3 |
0.80 |
35 |
39 |
17 |
2.29 |
|
3 |
NEC |
15 |
12 |
3 |
0.80 |
35 |
37 |
17 |
2.18 |
|
4 |
埼玉上尾 |
15 |
11 |
4 |
0.73 |
33 |
36 |
14 |
2.57 |
|
5 |
トヨタ車体 |
15 |
9 |
6 |
0.60 |
26 |
30 |
26 |
1.15 |
|
6 |
デンソー |
15 |
7 |
8 |
0.47 |
24 |
30 |
28 |
1.07 |
|
7 |
日立Astemo |
15 |
7 |
8 |
0.47 |
20 |
25 |
30 |
0.83 |
|
8 |
東レ |
15 |
6 |
9 |
0.40 |
18 |
23 |
31 |
0.74 |
|
9 |
岡山 |
15 |
4 |
11 |
0.27 |
13 |
19 |
36 |
0.53 |
|
10 |
PFU |
15 |
4 |
11 |
0.27 |
11 |
16 |
36 |
0.44 |
|
11 |
KUROBE |
15 |
3 |
12 |
0.20 |
11 |
24 |
42 |
0.57 |
|
12 |
アランマーレ |
15 |
0 |
15 |
0.00 |
1 |
7 |
45 |
0.16 |
※勝率、ポイント、セット率、得点率の順に高いチームが上位
P:ポイント
S:セット
V1女子試合結果一覧(1月14日終了時点)
