VリーグV1女子 JTが15連勝でV・ファイナルステージ進出決定
- SV女子
- 2024.01.15

開幕から負けなし15連勝を飾ったJT【写真:©JVL】
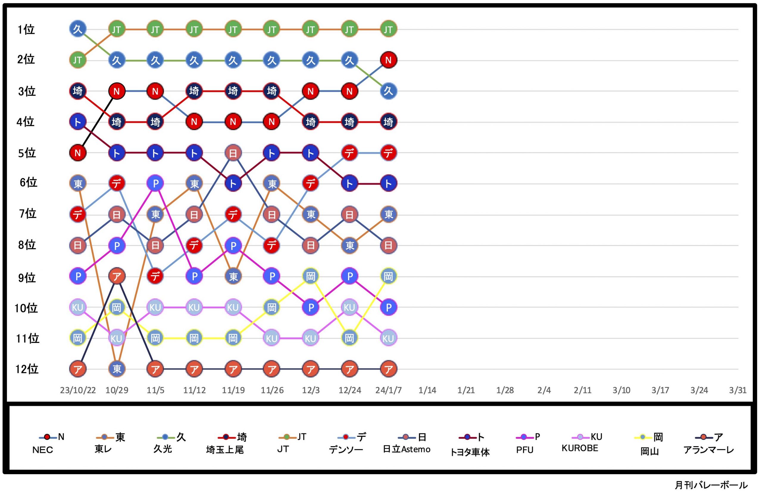
バレーボールの国内トップリーグ、2023-24 V.LEAGUE DIVISION1 WOMEN(V1女子)は1月13日(土)、14日(日)に3会場で計12試合が行われた。
首位を走るJTマーヴェラスは13日にKUROBEアクアフェアリーズと、14日にNECレッドロケッツと対戦。どちらも3-1で勝利すると、15勝0敗でV・レギュラーラウンド6位以上が確定。2月24日(土)から始まるV・ファイナルステージ進出を決めた。NECは順位を一つ落とし、セット率の差で3位となった。
連勝した久光スプリングスが2位に浮上。埼玉上尾メディックス、トヨタ車体クインシーズ、日立Astemoリヴァーレも連勝を飾った。
[試合結果]
■1月13日(土)
日立Astemo ◯3-0● アランマーレ
NEC ◯3-1● デンソー
埼玉上尾 ◯3-0● 東レ
トヨタ車体 ◯3-1● PFU
久光 ◯3-1● 岡山
JT ◯3-1● KUROBE
■1月14日(日)
日立Astemo ◯3-1● 岡山
JT ◯3-1● NEC
トヨタ車体 ◯3-2● 東レ
久光 ◯3-1● アランマーレ
KUROBE ◯3-2● デンソー
埼玉上尾 ◯3-0● PFU
V1女子順位推移表(1月14日終了時点)

■2024年秋からのバレーボール新リーグ V1男女全チームが最高峰リーグ参加資格を申請
■久光 深澤めぐみが東京体育館で立てる誓い。無観客での春高優勝から2年、「やっぱり楽しい」けれど…



























